쿠폰등록
모바일모드
전기스쿨인강 나의 강의실 커뮤니티 고객센터 동영상강의 USB강의 쇼핑몰 유료회원제
OFF
> 커뮤니티 > 학습자료 > 상세보기
우리들의 이야기 / 정보공유 / 무료학습자료
> 커뮤니티 > 학습자료 > 상세보기
트위터로 보내기 싸이월드 공감
State Transition Matrix 상태 천이 행렬 / 천이행렬  |  학습자료 2018-08-31 13:36:51
작성자  김대호 조회  6023   |   추천  516
 
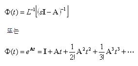
1. 상태 천이행렬
선형 제차 상태방정식 를 만족하는 해를 나타내는 행렬 Φ(t) (영입력응답)
     


2. 상태천이행렬 성질

   


3. 상태 천이 방정식선형 제차 상태방정식의 해
    
번호 제목 등록인 등록일 추천수 조회수 비고
768 [기사실기] 내선규정 1선 지락전류의 산출 (0) 김대호 2018-09-09 476 4656
767 [기사실기] 회복전압(回復電壓, Recovery Voltage) (0) 김대호 2018-09-06 461 7143
766 [기사실기] 전류재단현상(電流裁斷現狀, Current Chopping) / 절류절단현상 (1) 김대호 2018-09-06 531 6986
765 [기사실기] 변압기의 극성 (0) 김대호 2018-09-05 483 8817
764 [기사실기] 내선규정 접지선의 굵기 산정기초 (1) 김대호 2018-09-03 465 4912
763 [기사실기] 내선규정 전력량계 표준결선도 (0) 김대호 2018-09-03 457 3907
762 [기사실기] EOCR의 시퀀스도 (0) 김대호 2018-09-01 431 4230
761 [기사실기] 건축물의 구조체 접지란 (0) 김대호 2018-09-01 518 7596
760 [기사필기] State Transition Matrix 상태 천이 행렬 / 천이행렬 (0) 김대호 2018-08-31 516 6023
759 [기사실기] 휘도와 광속발산도의 관계 (sb 와 asb) (1) 김대호 2018-08-29 430 3792
758 [기사실기] 수용률과 부등률의 비교 (0) 김대호 2018-08-27 480 4590
757 [기사실기] 정규반 회로이론 1~3강 기초이론정립 (0) 김대호 2018-08-21 401 3210
756 [기사실기] 내선규정 진상용콘덴서 참고 접속도 / 콘덴서접속도 (0) 김대호 2018-08-19 396 3546
755 [기사실기] 단권변압기의 구조 (0) 김대호 2018-08-16 407 7291
754 [기사실기] 전력 주파수가 50Hz. 60Hz 로 된 이유 (0) 김대호 2018-08-16 528 9129
753 [기사실기] 스코트결선(Scott結線) (0) 김대호 2018-08-16 584 9395
752 [기사실기] 배선용차단기 정격 (0) 김대호 2018-08-13 552 4244
751 [기사실기]   배선용차단기 정격 (0) 김대호 2018-08-13 437 5462
750 [기사실기] 3상전력 / 송전선로에서의 전류구하기 (0) 김대호 2018-08-10 442 4243
749 [기사실기] 역률개선의 원리 (0) 김대호 2018-08-08 499 4334
추천
목록
회사소개 이용약관 개인정보취급방침 이메일주소무단 수집거부 광고문의 도서배송 관리자쪽지 찾아오시는길
사이트 이용문의 : 0505-233-3314 FAX : 0505-233-3315 이메일주소 : pekor@naver.com 대표 : 강명아
주소 : 서울특별시 서초구 효령로 41, 1층 통신판매등록번호 : 2010-서울서초-0491
사업자등록번호 : 114-90-85522 스카이미디어(교육청 평생교육시설) 개인정보관리책임자 : 강명아

Since2004, Copyright ⓒ 2026 스카이미디어 / 전기스쿨 All Rights Reserved. Ver 3.4